Nepřihlášený uživatel Přihlásit Registrace NIA
Webové aplikace Úřadu průmyslového informací užívají nezbytné soubory cookies k technickému zajištění funkčnosti a pro potřeby poskytování služby informační společnosti, která je výslovně vyžádána uživatelem. Rozumím

Detail: PV2023-360

Údaje byly získány dne: 08.10.2025 03:42. 
Poslední aktualizace dat: ÚPV-ČR 08.10.2025
UPOZORNĚNÍ: tento výpis má pouze informativní charakter a údaje pro jeho vytvoření byly získány na síti Internet. Domníváte-li se, že obsahuje chyby, obraťte se prosím na Úřad průmyslového vlastnictví.
Základní bibliografie 
(21) Číslo přihlášky
2023-360
(11) Číslo dokumentu
310511
(22) Datum podání
18.09.2023
 Priorita
(54) Název
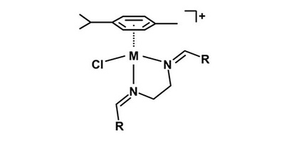
CS: Koordinační sloučeniny osmia pro použití pro léčbu plicních nádorových onemocnění
EN: Coordination osmium compounds to be used in the treatment of pulmonary cancer
(71/73) Přihlašovatel/Majitel
Univerzita Palackého v Olomouci, Křížkovského 511/8, 779 00 Olomouc, Česká republika
Výzkumný ústav veterinárního lékařství, v. v. i., Hudcova 296/70, 621 00 Brno, Medlánky, Česká republika
(72/75) Původce
Ing. Ivan Nemec, Ph.D., Přáslavice, Česká republika
doc. Mgr. Pavel Štarha, Ph.D., Věrovany, Česká republika
doc. RNDr. Jan Hošek, Ph.D., Brno, Veveří, Česká republika
 Zástupce
HARBER IP s.r.o., Dukelských hrdinů 567/52, 170 00 Praha 7, Holešovice, Česká republika
(51) MPT
C07F15/00 (2006.01), A61K31/555 (2006.01), A61P35/00 (2006.01)
 CPC
C07F15/00, A61K31/555, A61P35/00, C07F15/002, C07F15/0046
(40) Datum zveřejnění
26.03.2025
(47) Datum udělení patentu
31.07.2025
(24) Datum publikace udělení ve věstníku ÚPV
10.09.2025
 Stav
Platný dokument Stáhnout xml se stavem
  
3. - poplatek zaplacen
 Druh
PV národní s žádostí o udělení patentu
Časová osa 
18.09.2023

podání přihlášky

18.09.2023

podání žádosti o úplný průzkum

26.03.2025

zveřejnění PV

10.09.2025

publikace udělení patentu

18.09.2026

datum, do kdy jsou uhrazeny udržovací poplatky

Anotace 
(57)  
CS:

Iontové polosendvičové komplexní sloučeniny osmia v oxidačním stavu +II s deriváty ethan-1,2-diaminu substituovanými dvěma polyaromatickými substituenty vzorce I, jejich použití pro léčbu nádorových onemocnění, zejména rakoviny plic. Způsob přípravy těchto sloučenin a farmaceutický přípravek s jejich obsahem.



EN:

The ion semi-sandwich complex osmium compounds in the oxidation state +II with the derivatives of ethane-1,2-diamine substituted by two polyaromatic substituents with the formula I, their use in the treatment of cancer, particularly the lung cancer. The method of preparation of the compounds and a pharmaceutical preparation containing them.


Obrázek 
  
Reprodukce
Dokumenty 
 Zveřejněná přihláška
 Udělený patent
Přehled položek řízení 
Oprávněná úřední osoba / umístění: archiv / archiv
Číslo položkyDatum evidence podáníDatum odesláníNázev položkyDatum vyřízení žádostiDatum nabytí právní mociPoplatek uhrazenDatum evidence platbyČíslo věstníku
20 04.09.2025doručení patentové listiny     
   NABYTÍ P.M. - ROZHODNUTÍ O UDĚLENÍ PATENTU 01.09.2025   
 31.07.2025 doručenka     
 31.07.2025 doručenka     
19 31.07.20251.- 3.rok-udržovací poplatek 01.09.2025Ano 05.08.2025 
   UDĚLENÍ PATENTU    2025/37  publikováno: 10.09.2025
 08.07.2025 doručenka     
18 08.07.2025vyžádání poplatku za patentovou listinu  Ano 17.07.2025 
17 08.07.2025k udělení     
1629.06.2025 vyjádření ke zprávě Úřadu     
15 20.05.2025zpráva o výsledku úplného průzkumu     
1406.05.2025 přepracované/doplněné podlohy     
13 09.04.2025zpráva o výsledku úplného průzkumu     
   ZVEŘEJNĚNO    2025/13  publikováno: 26.03.2025
10  prioritní doklad-WIPO     
924.03.2024 přepracované/doplněné podlohy     
8 24.01.2024zpráva o výsledku úplného průzkumu     
   AKTUALIZACE ÚDAJŮ O SUBJEKTU DLE ISZR     
526.10.2023 plná moc     
   AKTUALIZACE ÚDAJŮ O SUBJEKTU DLE ISZR     
4 13.10.2023předběžný průzkum     
3 06.10.2023předběžný průzkum     
   změna zodpovědného referenta     
   AKTUALIZACE ÚDAJŮ O SUBJEKTU DLE ISZR     
218.09.2023 žádost o úplný průzkum  Ano 29.09.2023 
118.09.2023 PV - podání přihlašovatelem  Ano 29.09.2023 
Oprávněná úřední osoba / umístění: archiv / archiv
Číslo položky
20
Datum odeslání
04.09.2025
Název položky
doručení patentové listiny

Název položky
NABYTÍ P.M. - ROZHODNUTÍ O UDĚLENÍ PATENTU
Datum nabytí právní moci
01.09.2025

Datum evidence podání
31.07.2025
Název položky
doručenka

Datum evidence podání
31.07.2025
Název položky
doručenka

Číslo položky
19
Datum odeslání
31.07.2025
Název položky
1.- 3.rok-udržovací poplatek
Datum nabytí právní moci
01.09.2025
Poplatek uhrazen
Ano
Datum evidence platby
05.08.2025

Název položky
UDĚLENÍ PATENTU
Číslo věstníku
2025/37  publikováno: 10.09.2025

Datum evidence podání
08.07.2025
Název položky
doručenka

Číslo položky
18
Datum odeslání
08.07.2025
Název položky
vyžádání poplatku za patentovou listinu
Poplatek uhrazen
Ano
Datum evidence platby
17.07.2025

Číslo položky
17
Datum odeslání
08.07.2025
Název položky
k udělení

Číslo položky
16
Datum evidence podání
29.06.2025
Název položky
vyjádření ke zprávě Úřadu

Číslo položky
15
Datum odeslání
20.05.2025
Název položky
zpráva o výsledku úplného průzkumu

Číslo položky
14
Datum evidence podání
06.05.2025
Název položky
přepracované/doplněné podlohy

Číslo položky
13
Datum odeslání
09.04.2025
Název položky
zpráva o výsledku úplného průzkumu

Název položky
ZVEŘEJNĚNO
Číslo věstníku
2025/13  publikováno: 26.03.2025

Číslo položky
10
Název položky
prioritní doklad-WIPO

Číslo položky
9
Datum evidence podání
24.03.2024
Název položky
přepracované/doplněné podlohy

Číslo položky
8
Datum odeslání
24.01.2024
Název položky
zpráva o výsledku úplného průzkumu

Název položky
AKTUALIZACE ÚDAJŮ O SUBJEKTU DLE ISZR

Číslo položky
5
Datum evidence podání
26.10.2023
Název položky
plná moc

Název položky
AKTUALIZACE ÚDAJŮ O SUBJEKTU DLE ISZR

Číslo položky
4
Datum odeslání
13.10.2023
Název položky
předběžný průzkum

Číslo položky
3
Datum odeslání
06.10.2023
Název položky
předběžný průzkum

Název položky
změna zodpovědného referenta

Název položky
AKTUALIZACE ÚDAJŮ O SUBJEKTU DLE ISZR

Číslo položky
2
Datum evidence podání
18.09.2023
Název položky
žádost o úplný průzkum
Poplatek uhrazen
Ano
Datum evidence platby
29.09.2023

Číslo položky
1
Datum evidence podání
18.09.2023
Název položky
PV - podání přihlašovatelem
Poplatek uhrazen
Ano
Datum evidence platby
29.09.2023

Převody a změny majitelů/vlastníků 
Licence 
Jiná práva a ostatní rozhodné údaje 
Úřední opravy 
Publikace ve Věstníku ÚPV 
  
2025/13  publikováno: 26.03.2025 - ZVEŘEJNĚNO
2025/37  publikováno: 10.09.2025 - UDĚLENÍ PATENTU
Příbuzné spisy 
  
odvozené: PCT/CZ2024/050060